Tarım ve Orman Bakanlığı'na bağlı Orman Genel Müdürlüğü'ne engelli ve eski hükümlü statüsünde daimi işçiler alınacağı açıklandı.
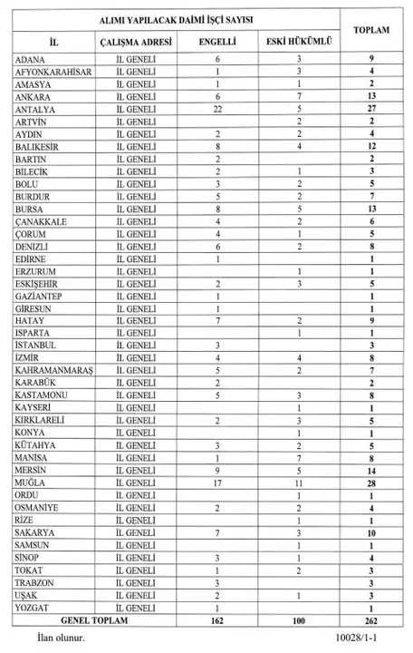
Resmi Gazete'nin 26 Eylül 2025 tarihli sayısında yayımlanan ilana göre; Orman Genel Müdürlüğü'nün taşra teşkilatında istihdam edilmek üzere 45 ilde, 162'si engelli ve 100'ü eski hükümlü/TMY statüsünde toplam 262 daimi işçi alımı yapılacak.
Başvuru Tarihleri
Açık iş ilanları 29 Eylül 2025 – 3 Ekim 2025 tarihleri arasında Türkiye İş Kurumu internet sayfasında yayımlanacak. İlanda belirtilen şartları taşıyan adaylar yine Türkiye İş Kurumu üzerinden başvuru yapabilecek.
Antalya Orman Bölge Müdürlüğü'ne 27 Daimi İşçi Alınacak
Orman Genel Müdürlüğü'nün ilanında, Antalya'da da 27 daimi işçi alımı yapılacağı belirtildi. Orman Bölge Müdürlüğü'nün bulunduğu Antalya'da 22 engelli ve 5 eski hükümlü/TMY kadrosu açık bulunuyor.
Burdur ve Isparta da Listede
Ayrıca Burdur'da 5 engelli ve 2 eski hükümlü olmak üzere 7; Isparta'da ise 1 eski hükümlü işe alınacak.
45 İlde Orman Müdürlüklerine 262 İşçi İstihdamı
Daimi işçi alımı Adana, Afyonkarahisar, Amasya, Ankara, Antalya, Artvin, Aydın, Balıkesir, Bartın, Bilecik, Bolu, Burdur, Bursa, Çanakkale, Çorum, Denizli, Edirne, Erzurum, Eskişehir, Gaziantep, Giresun, Hatay, Isparta, İstanbul, İzmir, Kahramanmaraş, Karabük, Kastamonu, Kayseri, Kırklareli, Konya, Kütahya, Manisa, Mersin, Muğla, Ordu, Osmaniye, Rize, Sakarya, Samsun, Sinop, Tokat, Trabzon, Uşak ve Yozgat şehirlerinde yapılacak.



Alanya'da 1350 Hektar Orman Yandı: 1890 Futbol Sahası Büyüklüğünde!